Общество
4 Июля 2025, 05:26

В Башкирии временно прекратят телевещание

Это связано с профилактическими работами.

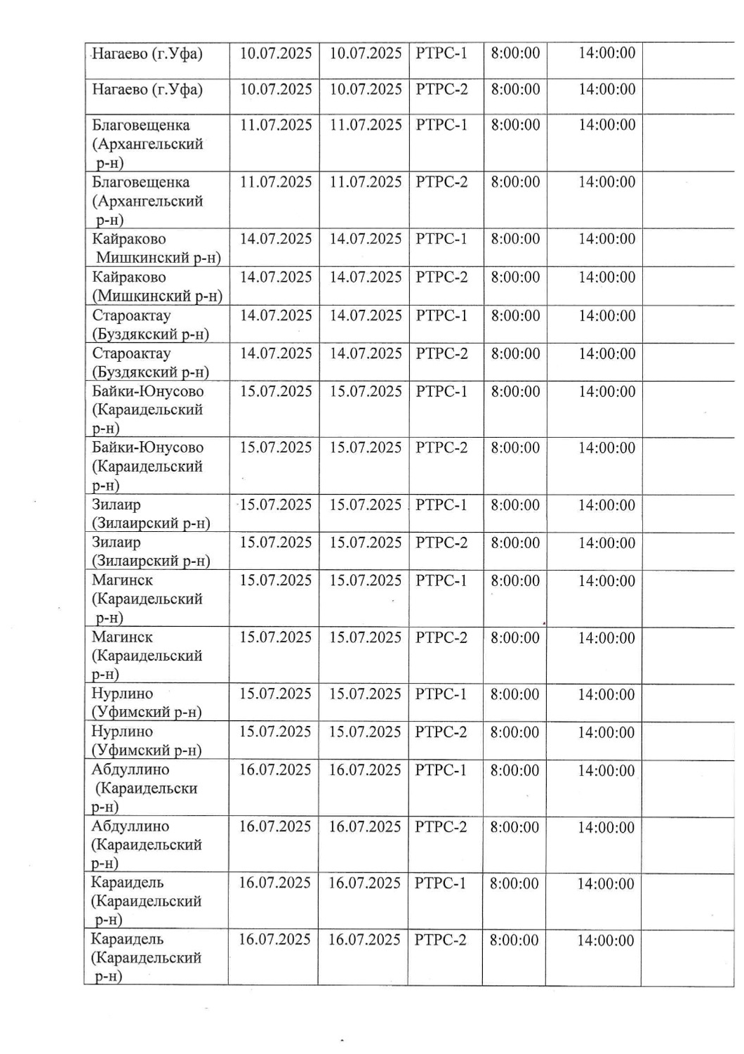
Теле- и радиоканалы первого и второго мультиплексов (РТРС-1 и РТРС-2) станут временно недоступны для жителей Башкирии с 7 по 31 июля. Это связано с профилактическими работами, сообщает пресс-служба Российской телевизионной и радиовещательной сети, сообщает газета "Республика Башкортостан".

Время отключения трансляции в каждом из населенных пунктов составит от шести до девяти часов. С графиком отключения можно ознакомиться ниже.

 

Автор:admin28@rbsmi.ru
Читайте нас