Все новости
Актуально
8 Октября , 13:20

В Башкирии временно прекратят телевещание

Это связано с профилактическими работами    

В Башкирии временно прекратят телевещание
В Башкирии временно прекратят телевещание

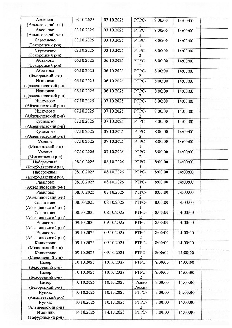
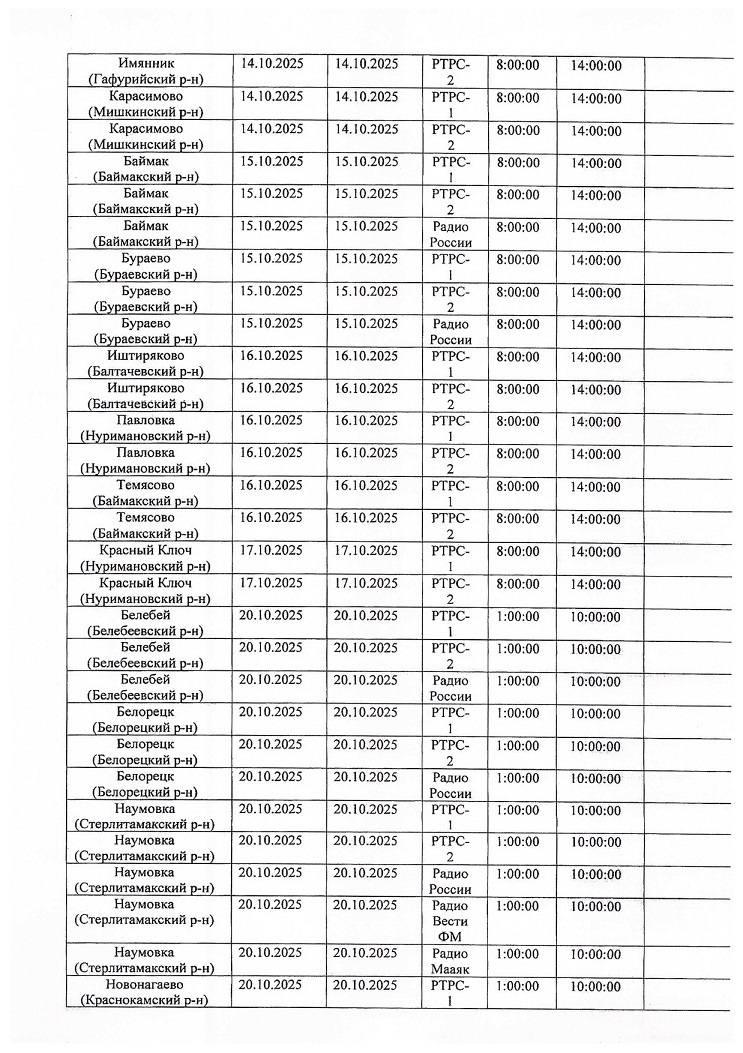
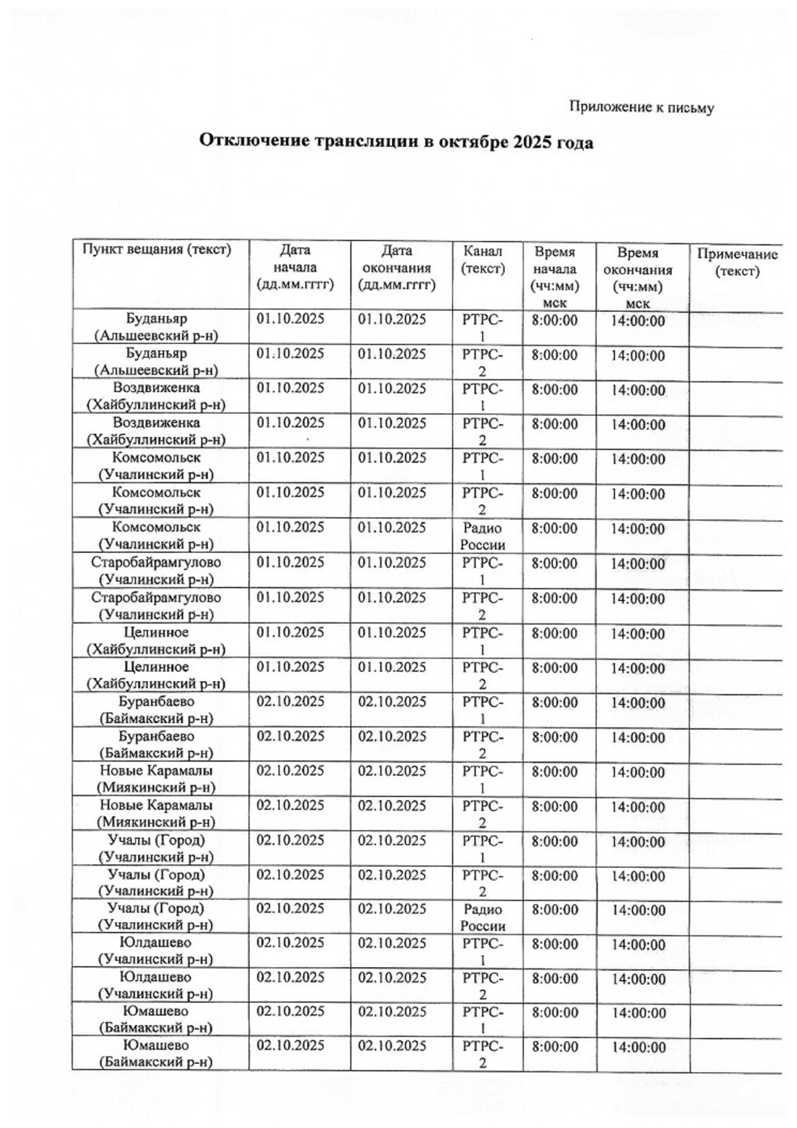
В течение октября в Башкирии будет отключаться теле- и радиовещание. Об этом пишет газета "Республика Башкортостан" со ссылкой на РТРС «РТПЦ РБ». Это связано с профилактическими работами.

В каждом из населенных пунктов республике вещание будет приостановлено по графику (смотрите таблицу внизу — время московское). Продолжительность отключения составит семь часов.

В Башкирии временно прекратят телевещание
В Башкирии временно прекратят телевещание
В Башкирии временно прекратят телевещание
В Башкирии временно прекратят телевещание
В Башкирии временно прекратят телевещание
В Башкирии временно прекратят телевещание
Автор: admin28@rbsmi.ru
Читайте нас